ABSTRACT
This paper presents the methodological approach and key results of the research project Design of ponds and small reservoirs in terms of the possibility to comply with MPF and flood safety (TA CR, no. SS03010230). The project focused on the assessment of ponds, pond systems and small reservoirs in relation to two hydrological extremes – draught and floods. During periods of drought, the issue of maintaining the minimum residual flow is addressed. The article describes the method of determining and maintaining the minimum residual flow at these hydraulic structures. Furthermore, the article deals with the assessment of the security of these structures in terms of the safe discharge of flood flows in accordance with ČSN 75 2935 – Assessment of the safety of hydraulic structures during floods.
INTRODUCTION
In recent decades, Czech Republic (Czechia) has been affected by flood events of varying frequency and spatial extent. Simultaneously, the country has experienced periods of prolonged drought, which have required significant restrictions from the perspective of water management and agricultural production. Considering the recorded and projected climate developments [1], the occurrence of hydrological extremes in the form of droughts and floods can be expected to continue in Czechia in the future.
Czechia is home to approximately 25,000 ponds and small reservoirs. In connection with the occurrence of hydrological extremes, questions have arisen regarding how existing ponds and small reservoirs can withstand exposure to these two extremes while continuing to fulfil their primary purpose. According to ČSN 75 2405, a pond is defined as “an artificially drainable reservoir with a natural bottom, primarily used for fish farming” [2]. A small reservoir is defined according to ČSN 75 2410 as “a reservoir with a volume up to the normal water level of less than 2 million m³ and a water depth of less than 9 m” [3]. The purpose of such a reservoir may be, for example, storage, flood protection, fish farming, recreational, landscape, economic, water treatment, or remediation. Although these hydraulic structures (HS) represent a potential tool for water accumulation in the fight against drought, they are limited by their intended purpose and impose specific requirements on the hydrological regime. For example, a small reservoir used for fish farming may find it difficult during droughts to ensure supplementary releases for minimum residual flow (MRF). From the perspective of flood protection, the issue concerns securing these existing HS against the effects of floods with regard to the protection of the surrounding land, property, and human lives downstream. They should be equipped with a sufficiently sized safety spillway; however, this is not always the case. At present, existing ponds and small reservoirs exhibit certain deficiencies that prevent them from effectively meeting the required demands. The aim of the research project, involving co-investigators from the T. G. Masaryk Water Research Institute (TGM WRI) and VODNÍ DÍLA – TBD, a. s. (VD – TBD), was to evaluate their current problems and assess the possibilities regarding compliance with MRF and flood safety.
METHODOLOGY
Input data
The first step in the study was the selection of pilot sites, primarily in the South Bohemian Region. In selecting a representative set of 50 pilot ponds and small reservoirs, consideration was given not only to issues of MRF and flood safety but also to maintaining their diversity. Pilot sites were chosen with a range of retained volumes, inundation areas, catchment sizes, design of outlet structures, and design of safety spillways. The locations of the pilot sites are shown in Fig. 1. The project was based on available documentation of the HS, including operational rules and accessible hydrological data.
Fig. 1. Map of pilot locations
Minimum residual flow (MRF)
MRF is defined in Section 36 of Act No. 254/2001 Coll., on Waters and on Amendments to Certain Laws (the Water Act), as “the flow of surface waters that still allows general use of surface waters and ecological functions of the watercourse, taking into account the possibilities for recreational navigation” [4]. According to this section, water authorities are obliged to specify the MRF in the water use permit. In doing so, they must consider “the conditions of the watercourse, the possibilities for recreational navigation, the nature of water use, and measures to achieve the objectives of water protection adopted in the river basin plan” [4]. The method and criteria for determining MRF are to be based on government regulations.
The legislative procedure to approve the government regulation has been ongoing since the amendment of the Water Act in 2010 and has not yet been completed. Currently, the valid Methodological Guideline of the Water Protection Department of the Ministry of the Environment for determining MRF values in watercourses from 1998 (hereinafter referred to as the Methodical Guideline) [5], along with other related legal regulations, is available. There were several reasons for the Ministry of the Environment of the Czech Republic (MoE CR) to revise the methodological approach regarding MRF [6]. Firstly, it can be noted that the so-called Bílek Table, according to which indicative MRF values are calculated under the Methodological Guideline, was originally intended for the dilution of wastewater below wastewater treatment plants. Furthermore, based on EU Document no. 31: Environmental Flows, it was decided to reconsider the existing approach and bring it more in line with current standards, such as taking into account the needs of aquatic ecosystems and dividing the MRF into at least two values during the year.
Following the amendment of the Water Act in 2010, TGM WRI was tasked with reassessing the approach to determining MRF according to the Methodological Guideline and implementing additional requirements into the newly proposed approach. This proposed approach became the basis for the draft Government Regulation of the Czech Republic on the Method and Criteria for Determining MRF (hereinafter referred to as the Draft Regulation). The approach considers regional hydrogeological characteristics, the seasonal division of MRF values throughout the year, and the inclusion of multiple hydrological parameters in the MRF calculation. At the same time, emphasis was placed on considering the needs of the biological components of the aquatic environment.
According to the proposed approach, MRF for reservoirs and reservoir systems is determined in the same way as for watercourses. In doing so, consideration is given to the reservoir operation and current hydrological conditions in the watercourse. However, if the water management design of these HS complies with the requirements of ČSN 75 2405 – Water Management Design of Reservoirs, and if this is necessary for their intended purpose, the MRF is determined differently. The proposed approach to determining MRF in watercourses divides Czechia into four regional areas. This regionalisation takes into account the key processes involved in the formation of total catchment runoff, with particular regard to hydrological and hydrogeological conditions. It also considers the boundaries of fourth-order catchments (according to Strahler). Each area is assigned a specific compensation coefficient. The compensation coefficient for a given reservoir is determined on the basis of its classification within the appropriate area according to its hydrological catchment order number. Due to the introduction of seasonal differentiation of MRF during the year, the MRF value is determined for two periods – the main season (May to January) and the spring season (February to April).
For the main season, the MRF is determined according to the equation
and for the spring season, the MRF is determined according to the equation
where:
MRF is minimum residual flow (m3 · s-1)
Q355d discharge achieved or exceeded on average 355 days per year (m3 · s-1)
Qa long-term mean annual discharge (m3 · s-1)
Q330d discharge achieved or exceeded on average 330 days per year (m3 · s-1)
K compensation coefficient for the given area, the value of which was derived with regard to the requirement to keep the MRF as close as possible to 25 % of Qa (area 1: K = 1.2; area 2: K = 1.1; area 3: K = 1.05; area 4: K = 1.07).
In the proposed approach to determining MRF for reservoirs and reservoir systems, operational conditions and current hydrological conditions are also considered. During reservoir filling and operation, the prescribed MRF should be maintained at the reservoir outflow. If the inflow into the reservoir decreases below the prescribed MRF value, the reservoir outflow should equal the inflow, as shown in the following equations:
where:
Qoutflow is outflow from the reservoir (m3 · s-1)
Qinflow inflow into the reservoir (m3 · s-1)
MRFprescribed prescribed minimum residual flow according to the equations above (m3 · s-1)
The research project Design of Ponds and Small Reservoirs in Terms of the Possibility to Comply with MRF and Flood Safety (TA CR, no. SS03010230) builds on previous activities of TGM WRI related to the proposed approach to determining MRF. The project adopted and applied this proposed approach. It focused on the method of determining the MRF value (according to both the proposed approach and the Methodological Guideline) and on the possibilities of maintaining MRF in reservoirs. Consideration was given to the HS water balance and to the real and technically feasible options of the outlet structure. During the legislative process, the question arose whether, in determining MRF for small reservoirs and ponds, reservoir losses (e.g. through evaporation or seepage) should be taken into account by reducing the MRF value accordingly. The research project addressed this issue.
Flood safety
In Czechia, the assessment of flood safety for HS is conducted according to ČSN 75 2935 – Assessment of the Flood Safety of Hydraulic Structures. The Czech technical standard (ČSN) is not generally binding in itself (according to Act no. 22/1997 Coll.). Standards become mandatory when they are referenced in legal regulations. An example is the reference to ČSN 75 2935 in Section 61 of the Water Act. The application of this standard results in the Flood Safety Assessment of the Hydraulic Structures. The assessment is prepared for all types of dam construction (local material, concrete, brick, and combined) and applies to all HS categories in accordance with Decree no. 471/2001 Coll., on Technical Safety Supervision of Hydraulic Structures. This issue was addressed in the project by the co-investigator VD – TBD. As part of the flood safety assessment, the project’s task was to prepare assessments for the individual pilot sites and, based on the experience gained, to develop guidelines for applying ČSN 75 2935 to a characteristic type of historical HS (ponds) falling within categories III and IV under the technical safety supervision framework.
The main principles for preparing a flood safety assessment according to ČSN 75 2935 are as follows [7, 8]:
- The flood safety level is determined, graded according to the importance of the hydraulic structure (HS) in terms of potential damage in the event of its failure. It is expressed by hydrological data, circumstances affecting the HS’s safety during a flood, and assumptions and conditions for passing floodwaters through the HS.
- The required safety level for operated HS is determined based on the performed categorization, considering potential loss of human life and the extent of damage in the event of HS failure. For the design of a new HS that has not yet been categorized, classification is carried out according to the relevant valid methodological guideline for preparing assessments to assign HS to a category under technical safety supervision (see Methodological Guideline No. 1/2010 on Technical Safety Supervision of Hydraulic Structures).
- Hydrological data refers to the design flood wave (DFW), which consists of one or more flood waves with an exceedance probability corresponding to the required safety level.
- The maximum water level (MWL) is determined based on the specific conditions of the HS, i.e., the circumstances affecting flood safety and probable causes of failure.
- The design maximum water level (DMWL) is determined according to the assumptions and conditions for conveying the DFW through the HS.
- The result of the assessment is the relationship between MWL and DMWL (i.e., DMWL ≤ MWL is acceptable) and recommended corrective or emergency measures.
- The assessment evaluates the safety and stability of the dam, individual functional structures, and foundation under the extreme load caused by the passage of the DFW. Therefore, knowledge of the HS technical condition is necessary and must be taken into account when determining the assumptions and conditions for conveying floodwaters.
The Flood Safety Assessment has the following standardized structure and chapter designations:
- A. Introduction
- B. Purpose and description of the hydraulic structure
- C. Basic data and background
- C.1. Required safety level of the hydraulic structure during a flood
- C.2. Hydrological data
- C.3. Technical parameters and documentation
- C.4. Circumstances affecting hydraulic structure safety during a flood
- C.5. Hydraulic calculations
- D. Determination of maximum water level
- E. Determination of design maximum water level in the reservoir
- F. Final evaluation
- G. Corrective and emergency measures
- H. References
- I. List of appendices
RESULTS AND DISCUSSION
Minimum residual flow (MRF)
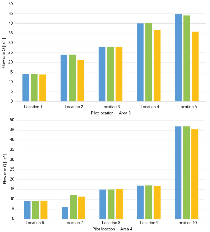
Comparison of MRF values determined according to the Methodological Guideline and the Draft Regulation (Tab. 1) shows that applying the approach in the Draft Regulation does not cause significant changes in MRF values. Specifically, for 22 pilot sites, the difference in MRF between the current Methodological Guideline and the Draft Regulation was up to 5 %; for 9 sites, up to 10 %; for 7 sites, up to 15 %; and for 4 sites, the difference exceeded 20 %. For 7 pilot sites, the values were similar. It is worth noting that, in some cases, the MRF value specified in the water use permit differs from the calculated guideline values according to the Methodological Guideline. This discrepancy is either due to an older water use permit or was determined differently for a specific reason. Comparison of MRF values for selected sites, considering their classification into regions, is shown in detail in Fig. 2. The pilot sites, divided into regions based on the regionalization in the Draft Regulation, fall into Area 3 and Area 4. The data analysis also showed that, for the pilot sites, the Q₃₅₅d flow was not undershot, with one exception (Fig. 3). The Draft Regulation sets Q₃₅₅d as the minimum allowable MRF value, because this flow represents the threshold of hydrological drought.
Tab. 1. Comparison of the method of determining the minimum residual flow (MRF) according to the draft Regulation of the Government of the Czech Republic on the method and criteria for determining the MRF in the 2019 version (MZP NV) and according to the Methodical Instruction of the Department of Water Protection of the Ministry of the Environment to Determine the Values of MRF in Watercourses from 1998 (MZP MP 1998) shown as their percentage difference
Fig. 2. Comparison of the MRF according to the draft Regulation of the Government in the 2019 version (yellow column), the MRF according to the Methodical Instruction from 1998 (green column) and the MRF determined in the water management permit (blue column) for selected locations in Area 3 and Area 4
Fig. 3. Comparison of the method of determining the MRF according to the draft Regulation of the Government in the 2019 version and according to the Methodical instruction from 1998 with the M-day flows Q355 and Q330
The project also focused on assessing the relevance of reducing the prescribed MRF by losses due to evaporation and seepage into the subsoil. Seepage into the subsoil is related to hydrogeological conditions at the HS location. The evaluation of evaporation losses, presented in Figs. 4 and 5, shows an increasing trend over successive decades. However, reducing the MRF by evaporation losses is not acceptable for small reservoirs and ponds, as it would lead to a reduction of the MRF itself.
Fig. 4. Example of average decadal evaporation for the main season and for the secondary spring season for one pilot site
Fig. 5. Example of average decadal monthly evaporation for one pilot site
The research project examined the feasibility of maintaining MRF in reservoirs, taking into account the hydrological balance of the HS and the actual and technically feasible capabilities of the outlet structure. A simplified hydrological balance of the reservoir, simulated using the MAVONA application [9], is shown in Fig. 6 and indicates that strict adherence to the MRF at the reservoir outlet significantly affects the required reservoir volume. Uncompromising compliance with MRF throughout the year is not always realistic, especially if inflow to the reservoir drops below the prescribed MRF. In such cases, it would be necessary to supplement the outflow from the stored reservoir volume, which may compromise some of the HS functions. On the other hand, maintaining the MRF is essential to prevent negative impacts on the hydrological regime of the watercourse downstream of the reservoir caused by reduced inflow. For these reasons, operational conditions and current hydrological conditions are considered in the method for determining MRF, as described earlier in the methodology. The technical design of the outlet structures may represent a limiting factor in releasing the required MRF, since these outlets are technically adapted to the reservoir’s functions. For more flexible regulation of outflow according to current hydrological conditions, it would be necessary to modify the technical design of the outlet structures and establish an appropriate inspection frequency. Typical outlet facilities used in ponds and small reservoirs include a Monk drainage system, sluice gate, slide gate, flap gate, and others. However, none of these allow flexible manipulation of outflow in accordance with changing hydrological conditions. To ensure effective compliance with MRF, it is essential to define requirements that are meaningful, technically feasible, and practical, given the large number of ponds and small reservoirs in Czechia.
Fig. 6. Illustration of volume in the reservoir when complying with the MRF (blue curve) and not complying with the MRF (orange curve) at the reservoir outlet for the period from 2010 to 2021
Current hydrological data for the present reference period should be a key basis for determining MRF, as they reflect the current climatic conditions. With the development of climatic conditions, hydrological characteristics in the catchment and at the HS also change. The project addressed the question of whether including the preceding decade in the reference period would affect the MRF value. During the previous decade, both floods and droughts occurred in Czechia. The project concluded that values of M-day discharges, as well as the MRF, may decrease. There is a possibility that changing the reference period for hydrological data will alter the MRF requirements for HS.
Flood safety
The assessed pilot sites are represented according to their category under the technical safety supervision system, with 34 sites falling into Category III and 16 sites into Category IV* (IV* denotes significant HS of Category IV). The required safety level, expressed as the return period of the theoretical DFW, is 1,000 years for the 34 Category III sites, 200 years for 13 of the IV* sites, and 100 years for 3 of the IV* sites.
Based on knowledge and experience gained during the project and from previous practice in preparing safety assessments, a draft methodology for the ČSN 75 2935 application was proposed. The draft methodology serves both as a guide for preparing an assessment under ČSN 75 2935 for historic HS, with the aim of simplifying and streamlining the work, and as a source of suggestions for updating the standards ČSN 75 2935 – Assessment of Flood Safety of Hydraulic Structures and ČSN 75 0255 – Calculation of Wave Effects on Structures at Reservoirs and Impoundments. The formulated principles for preparing the assessment, presented in the form of a draft methodology, are available in the final project report [7]. An example of selected recommendations is provided below [7]:
- As part of the project, a consolidated list of circumstances affecting the flood safety of HS was prepared for the group of historic structures, to simplify and clarify the assessment process. This list is divided into three groups according to the anticipated impact on different parts of the assessment. The aim of this questionnaire-based approach is to minimize the subjective component in the evaluation process and to guide the assessor. This part of the assessment should be carried out by an experienced water management specialist, preferably a technical safety supervision expert.
- For HS classified in Categories I to III, wind data are required according to ČSN 75 2935. For historic Category III HS, it is recommended not to request wind data from the CHMI, but instead to use the wind speeds specified in ČSN 75 0255 – Calculation of Wave Effects on Structures at Reservoirs and Impoundments.
- MWL is determined for a specific type and structural design of HS as the highest reservoir level at which the current risk of failure or structural damage begins.
- Initial MWL may be decreased or increased by partial height values corresponding to the factors considered.
- DMWL during a flood is determined by solving the flood wave transformation problem considering the retention effect of the reservoir. The procedure follows the provisions of the standard.
- Water release through the bottom outlet is generally not considered due to its low capacity and the risk of blockage. Possible impacts on the capacity of functional structures from floating debris or sediment should be taken into account. In cases of uncertainty, the most unfavourable scenario is considered.
- If the required safety level of the HS during a flood, expressed as the exceedance probability of the DFW peak flow, is not specified in the categorization protocol, the procedure follows Table 1 of the standard. Table 1 of the standard provides the exceedance probability of the DFW peak flow as p=1/N, where N is the return period.
- The DFW is considered as a theoretical N–year flood wave.
- For the purposes of the assessment, it is advisable to verify the inundated area at normal water level using map data and to calculate the reservoir characteristics above the assumed DMWL.
- Parameters critical for the preparation of the assessment must be verified.
- From the analysis presented in the report, it is evident that for historic HS, precise calculation of the wave run-up is impractical, as it is almost always subsequently subject to substantial reduction.
- Two main proposals have emerged regarding the update of existing standards. Given the extremely low probability of the concurrence of the DFW peak and the duration of extreme wind with a return period of 25 to 100 years (e.g., for a 100-year flood, tens of millions of years; for a 1,000-year flood, hundreds of millions of years), it seems justified to open a professional discussion on the current procedure for calculating the MWL according to ČSN 75 2935. Furthermore, a revision of ČSN 75 0255 is recommended for consideration. The wave run-up calculation under this standard is very unclear and complicated. Users require significant time to navigate the calculation procedure, which often leads to mistakes, errors, or misinterpretation. In both cases, it is advisable to examine how this issue is approached internationally and within European legislation [7].
The overall assessment of the results corresponds to long-term expert estimates and observed statistics, which indicate that nearly half of historical HS do not safely pass the DFW [7]. From the representative sample, 60 % (i.e., 30 pilot sites) met the flood safety requirement. An example of the transformation of the DFW through a HS is shown in Fig. 7.
Fig. 7. Transformation of the flood wave KPV 1 000 in the reservoir
CONCLUSION
Small reservoirs and ponds, regardless of their age, must be able to withstand hydrological extremes – droughts and floods – while fulfilling their intended function. It is essential to establish clear rules and criteria to ensure that the overall effect of the HS is not counterproductive. During periods of drought, the issue of maintaining MRF must be addressed. It is recommended that operational and current hydrological conditions be taken into account when determining MRF for small reservoirs and ponds. This means that during both filling and operation, outflow from the reservoir should be at least the prescribed MRF, and if inflow to the reservoir falls below this value, the outflow should be at least equal to inflow. Reducing MRF to account for losses through evaporation or seepage into the subsoil is irrelevant. In the context of floods, preparing a safety assessment of the HS verifies whether additional measures are necessary to ensure its safety. As part of the project, a methodology was developed to serve as a guide for preparing this assessment, including suggestions for revising procedures. The project outputs are available on the research project’s website at the following link: https://heis.vuv.cz/data/webmap/datovesady/projekty/MvnMzpPovodne/
Acknowledgements
The authors would like to thank for the constructive support received during the project from the Technology Agency of the Czech Republic, the Ministry of the Environment, the South Bohemian Region, representatives of hydraulic structure owners, the T. G. Masaryk Water Research Institute, and VODNÍ DÍLA – TBD, a. s. They also thank the participants of the project Water Systems and Water Management in the Czech Republic under Climate Change – Centre Voda for their collaboration. The research project was co-financed by the Technology Agency of the Czech Republic under the Environment for Life 3 programme. The project’s application guarantors were the Ministry of the Environment and the South Bohemian Region. This paper was presented at the Rybníky 2025 conference on 19 June 2025.
The Czech version of this article was peer-reviewed, the English version was translated from the Czech original by Environmental Translation Ltd.




