ABSTRAKT
Tento článek představuje metodický přístup a klíčové výsledky výzkumného projektu „Řešení rybníků a malých vodních nádrží z hlediska možnosti dodržování MZP a bezpečnosti při povodních“ (TA ČR, č. SS03010230). Projekt se zaměřil na posouzení rybníků, rybničních soustav a malých vodních nádrží ve vztahu ke dvěma hydrologickým extrémům – suchu a povodním. V období sucha se řeší problematika dodržování minimálního zůstatkového průtoku. Článek popisuje způsob stanovení a dodržování minimálního zůstatkového průtoku na těchto vodních dílech. Dále se článek zabývá posouzením zabezpečenosti těchto vodních děl z hlediska bezpečného převedení povodňových průtoků podle ČSN 75 2935 – Posouzení bezpečnosti vodních děl při povodních.
ÚVOD
V posledních dekádách zasáhly území České republiky (ČR) povodňové události s různou dobou opakování a rozsahem zasažených oblastí. Zároveň byla ČR postižena i obdobími dlouhodobého sucha, která si vyžádala významná omezení z pohledu vodního hospodářství a zemědělské produkce. Při zohlednění zaznamenaného a prognózovaného vývoje klimatických podmínek [1] lze i do budoucna na území ČR očekávat výskyt hydrologických extrémů v podobě sucha a povodní.
V ČR se nachází přibližně 25 000 rybníků a malých vodních nádrží (MVN). V souvislosti s výskytem hydrologických extrémů vznikly otázky, jak stávající rybníky a MVN mohou obstát při vystavení těmto dvěma extrémům a zároveň plnit svůj hlavní účel. Rybník je podle ČSN 75 2405 definován jako „uměle vypustitelná nádrž s přirozeným dnem, která slouží především k chovu ryb“ [2]. MVN je definována dle normy ČSN 75 2410 jako „nádrž s objemem po hladinu normální hladiny menším než 2 mil. m³ a hloubkou vody menší než 9 m“ [3]. Účel této nádrže může být např. zásobní, ochranný, rybochovný, rekreační, krajinotvorný, hospodářský, čisticí, asanační apod. Ačkoli tato vodní díla (VD) představují potenciální nástroj pro akumulaci vody v boji proti suchu, jsou limitována svým účelem a přinášejí specifické požadavky na hydrologický režim. Např. MVN určená pro chov ryb při suchu obtížně zajistí nadlepšování pro minimální zůstatkový průtok. Z hlediska povodňové ochrany je pak otázkou zabezpečení těchto stávajících vodních děl proti účinkům povodní s ohledem na ochranu území, majetku a lidských životů pod nimi. Měla by být vybavena dostatečně kapacitním bezpečnostním přelivem, avšak v některých případech tomu tak není. V současné době stávající rybníky a MVN vykazují jisté nedostatky, jež jim brání v efektivním plnění kladených požadavků. Cílem výzkumného projektu, na němž se podíleli spoluřešitelé Výzkumný ústav vodohospodářský T. G. Masaryka (VÚV TGM) a VODNÍ DÍLA – TBD, a. s. (VD – TBD), bylo zhodnotit jejich aktuální problémy a posoudit možnosti v oblasti dodržování minimálního zůstatkového průtoku (MZP) a bezpečnosti při povodních.
METODIKA
Vstupní data
Prvním krokem řešení byl výběr pilotních lokalit, a to především na území Jihočeského kraje. Při výběru reprezentativního souboru 50 pilotních lokalit rybníků a MVN se kromě zohlednění problematiky minimálních zůstatkových průtoků a bezpečnosti při povodních dbalo také na zachování jejich rozmanitosti. Byly vybrány pilotní lokality s různou velikostí zadržovaného objemu, plochou zátopy, plochou povodí i s odlišným technickým řešením výpustních objektů a bezpečnostních přelivů. Polohu pilotních lokalit ukazuje obr. 1. Výchozími podklady pro projekt byla dostupná dokumentace o vodních dílech v podobě manipulačních řádů a disponibilních hydrologických dat.
Obr. 1. Mapa pilotních lokalit
Fig. 1. Map of pilot locations
Minimální zůstatkový průtok
MZP je podle § 36 zákona č. 254/2001 Sb., o vodách a o změně některých zákonů (vodní zákon), definován jako „průtok povrchových vod, který ještě umožňuje obecné nakládání s povrchovými vodami a ekologické funkce vodního toku a zohledňuje možnosti rekreační plavby“ [4]. Vodoprávní úřady mají dle tohoto paragrafu povinnost stanovit MZP v povolení k nakládání s vodami. Přitom přihlédnou „k podmínkám na vodním toku, možnostem rekreační plavby, charakteru nakládání s vodami a opatřením k dosažení cílů ochrany vod přijatých v plánu povodí“ [4]. Způsob a kritéria stanovení MZP mají vycházet z vládního nařízení.
Legislativní řízení ke schválení vládního nařízení probíhá již od novelizace vodního zákona v roce 2010 a nebylo dosud dokončeno. V současné době je k dispozici platný Metodický pokyn Odboru ochrany vod Ministerstva životního prostředí ke stanovení hodnot MZP ve vodních tocích z roku 1998 (dále jen metodický pokyn) [5], popřípadě další související zákonné předpisy. Důvodem pro změnu metodického přístupu z hlediska MZP ze strany MŽP ČR bylo několik [6]. Zaprvé lze konstatovat, že tzv. Bílkova tabulka, podle níž se počítají směrné hodnoty MZP dle metodického pokynu, byla původně určena k ředění odpadních vod pod ČOV. Dále na základě dokumentu EU č. 31: Environmental flows bylo rozhodnuto přehodnotit stávající přístup a přiblížit se více novým aktuálním standardům, jako je zohlednění potřeb vodních ekosystémů a rozdělení MZP na minimálně dvě hodnoty během roku.
Právě v návaznosti na novelizaci vodního zákona v roce 2010 byl VÚV TGM pověřen přehodnocením přístupu ke stanovení MZP podle metodického pokynu a implementací dalších požadavků do nově navrhovaného přístupu ke stanovení MZP. Tento navrhovaný přístup se stal podkladem pro návrh Nařízení vlády České republiky o způsobu a kritériích stanovení MZP (dále jen návrh nařízení vlády). Přístup bere v úvahu regionální hydrogeologická specifika, sezonní rozdělení hodnot MZP během roku a zahrnutí více hydrologických parametrů do výpočtu MZP. Zároveň se kladl důraz na zohlednění potřeb biologických složek vodního prostředí.
Podle navrhovaného přístupu se pro vodní nádrže a soustavy vodních nádrží stanoví MZP dle způsobu stanovení MZP ve vodním toku. Přitom se přihlíží k provozu vodní nádrže a aktuálním hydrologickým podmínkám ve vodním toku. Pokud však vodohospodářské řešení těchto vodních děl naplňuje požadavek ČSN 75 2405 – Vodohospodářské řešení vodních nádrží a zároveň je to nezbytné pro jejich účel, MZP se pak stanoví odlišně. Navrhovaný přístup ke způsobu stanovení MZP ve vodních tocích regionálně rozděluje území ČR do čtyř oblastí. Tato regionalizace zohledňuje klíčové procesy podílející se na tvorbě celkového odtoku z povodí s přihlédnutím především k hydrologickým a hydrogeologickým podmínkám. Dále uvažuje hranice povodí čtvrtého řádu (podle Strahlera). Každé oblasti náleží konkrétní kompenzační součinitel. Kompenzační součinitel se příslušné vodní nádrži přiřadí na základě jejího zatřídění do požadované oblasti podle čísla jejího hydrologického pořadí povodí. Z důvodu zavedení sezonního rozdělení MZP během roku se hodnota MZP stanoví pro dvě období – tzv. hlavní sezonu (květen až leden) a jarní sezonu (únor až duben).
Pro hlavní sezonu se MZP stanoví podle vztahu
a pro jarní sezonu se MZP stanoví podle vztahu
kde:
MZP je minimální zůstatkový průtok (m3 · s-1)
Q355d průtok dosažený nebo překročený v dlouhodobém průměru 355 dní v roce (m3 · s-1)
Qa dlouhodobý průměrný roční průtok (m3 · s-1)
Q330d průtok dosažený nebo překročený v dlouhodobém průměru 330 dní v roce (m3 · s-1)
K kompenzační součinitel pro danou oblast, jehož hodnota byla odvozena s ohledem na požadavek zachovat MZP co nejblíže hodnotě 25 % Qa (oblast 1 má K = 1,2; oblast 2 má K = 1,1; oblast 3 má K = 1,05; oblast 4 má K = 1,07)
Do navrhovaného přístupu ke způsobu stanovení MZP pro vodní nádrže a soustavy vodních nádrží dále vstupují provozní podmínky a aktuální hydrologické podmínky. Při napouštění vodního díla a jeho provozu by se měl na odtoku z nádrže zajistit stanovený MZP. V případě snížení přítoku do nádrže pod hodnotu stanoveného MZP by se měla na odtoku z nádrže dodržovat hodnota přítoku do ní, jak ukazují následující vztahy:
kde:
Qodtok je odtok z nádrže (m3 · s-1)
Qpřítok přítok do nádrže (m3 ·s-1)
MZPstanovený stanovený minimální zůstatkový průtok podle vztahů výše (m3 · s-1)
Výzkumný projekt „Řešení rybníků a malých vodních nádrží z hlediska možnosti dodržování MZP a bezpečnosti při povodních“ (TA ČR, č. SS03010230) navazuje na předešlé aktivity VÚV TGM spjaté s navrhovaným přístupem stanovení MZP. Projekt převzal tento navrhovaný přístup a aplikoval jej. Zaměřil se na způsob stanovení hodnoty MZP (podle navrhovaného přístupu a podle metodického pokynu) a možnosti dodržování MZP na vodních nádržích. Přihlíželo se k hydrologické bilanci vodního díla a k reálným a technicky proveditelným možnostem výpustného objektu. Při legislativním řízení vyplynula otázka, zda by se při stanovení MZP měly u MVN a rybníků zohlednit ztráty v nádrži – např. výparem nebo průsakem – tak, že by se hodnota MZP o ztráty snížila. Výzkumný projekt se touto otázkou zabýval.
Bezpečnost při povodních
V ČR se posouzení bezpečnosti vodních děl při povodních provádí podle normy ČSN 75 2935 – Posuzování bezpečnosti vodních děl při povodních. Česká technická norma (ČSN) sama o sobě není obecně závazná (dle zákona č. 22/1997 Sb.). Používání norem se stává závazné v okamžiku, kdy jsou citovány v zákonných předpisech. Příkladem je odkaz na normu ČSN 75 2935 v § 61 vodního zákona. Výsledkem aplikace této normy je Posudek bezpečnosti vodního díla při povodních. Posudek se vyhotovuje pro všechny konstrukční typy hráze (z místních materiálů, betonových, zděných a kombinovaných) a vztahuje se na všechny kategorie vodních děl ve smyslu vyhlášky č. 471/2001 Sb., o technickobezpečnostním dohledu nad vodními díly. Touto problematikou se v projektu zabýval spoluřešitel projektu VD – TBD. V rámci posouzení bezpečnosti při povodních bylo úkolem projektu zpracovat posudky pro jednotlivé pilotní lokality a na základě nabytých zkušeností sestavit zásady pro práci s normou ČSN 75 2935 pro charakteristický typ historických vodních děl (rybníků), spadajících do III. a IV. kategorie z hlediska technickobezpečnostního dohledu.
Stručné zásady zpracování posouzení bezpečnosti při povodních dle normy ČSN 75 2935 jsou následující [7, 8]:
- Stanovuje se míra bezpečnosti při povodni, a to odstupňovaně podle významu vodního díla (VD) z hlediska možných škod při jeho havárii. Je vyjádřena hydrologickým podkladem, okolnostmi ovlivňujícími bezpečnost VD při povodni a předpoklady a podmínkami převádění povodně přes VD.
- Požadovaná míra bezpečnosti se u provozovaných VD stanoví podle provedené kategorizace s přihlédnutím k možným ztrátám lidských životů a výši škod při havárii VD. V případě návrhu nového VD, které nebylo doposud kategorizováno, se pro zařazení použije postup podle příslušného platného metodického pokynu ke zpracování posudků pro zařazení VD do kategorie z hlediska technickobezpečnostního dohledu (viz Metodický pokyn č. 1/2010, k technickobezpečnostnímu dohledu nad vodními díly).
- Hydrologickým podkladem se rozumí kontrolní povodňová vlna (KPV), kterou tvoří jedna nebo více povodňových vln s pravděpodobností překročení odpovídající požadované míře bezpečnosti.
- Stanoví se mezní bezpečná hladina (MBH) na základě konkrétních podmínek VD (tj. okolností ovlivňujících bezpečnost při povodni a pravděpodobné příčiny havárie).
- Stanoví se kontrolní maximální hladina (KMH) podle předpokladů a podmínek převádění KPV přes VD.
- Výsledkem posouzení je relace mezi úrovněmi MBH a KMH (tj. KMH ≤ MBH vyhovuje) a doporučená nápravná, případně nouzová opatření.
- V posudku se hodnotí bezpečnost a stabilita hráze, jednotlivých funkčních objektů a podloží při mezním zatížení vyvolaném průchodem KPV. Pro posouzení je tedy nutná znalost technického stavu VD, který je nezbytné v posudku zohlednit při stanovení předpokladů a podmínek pro převádění povodní.
Posudek bezpečnosti při povodních má následující jednotné členění a označení kapitol:
- A. Úvodní část
- B. Účel a popis vodního díla
- C. Základní údaje a podklady
- C.1. Požadovaná míra bezpečnosti vodního díla při povodni
- C.2. Hydrologické podklady
- C.3. Technické parametry a podklady
- C.4. Okolnosti ovlivňující bezpečnost vodního díla při povodni
- C.5. Hydraulické výpočty
- D. Stanovení mezní bezpečné hladiny
- E. Stanovení kontrolní maximální hladiny v nádrži
- F. Závěrečné zhodnocení
- G. Nápravná a nouzová opatření
- H. Použité podklady
- I. Seznam příloh
VÝSLEDKY A DISKUZE
Minimální zůstatkový průtok
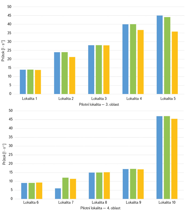
Porovnání hodnot MZP stanovené na základě metodického pokynu a návrhu nařízení vlády (tab. 1) ukazuje, že aplikace přístupu v návrhu nařízení vlády nezpůsobí výrazné změny v hodnotách MZP. Konkrétně, u 22 pilotních lokalit se rozdíl MZP mezi stávajícím metodickým pokynem a návrhem nařízení vlády pohyboval do 5 %, u 9 lokalit do 10 %, u 7 lokalit do 15 % a u 4 lokalit překročil rozdíl 20 %. Pro 7 pilotních lokalit byly hodnoty obdobné. Stojí za zmínku, že v některých případech je hodnota MZP v povolení nakládání s vodami rozdílná od vypočtených směrných hodnot dle metodického pokynu. Tento rozdíl je způsoben buď starším povolením nakládání s vodami, nebo byl stanoven rozdílně z určitého důvodu. Porovnání hodnot MZP pro vybrané lokality s ohledem na jejich zatřídění do oblastí detailně ukazuje obr. 2. Pilotní lokality, rozdělené do oblastí na základě regionalizace v návrhu nařízení vlády, spadají do 3. oblasti a 4. oblasti. Z analýzy dat rovněž vyplynulo, že u pilotních lokalit nedocházelo až na jednu výjimku (obr. 3) k podkročení průtoku Q355d. Návrh nařízení vlády stanovuje průtok Q355d jako nejnižší přípustnou hodnotu MZP, protože průtok reprezentuje hranici hydrologického sucha.
Tab. 1. Porovnání způsobu stanovení MZP podle návrhu Nařízení vlády České republiky o způsobu a kritériích stanovení MZP ve verzi z roku 2019 (MZP NV) a podle Metodického pokynu Odboru ochrany vod Ministerstva životního prostředí ke stanovení hodnot MZP ve vodních tocích z roku 1998 (MZP MP 1998) zobrazené ve formě jejich procentuálního rozdílu
Tab. 1. Comparison of the method of determining the minimum residual flow (MRF) according to the draft Regulation of the Government of the Czech Republic on the method and criteria for determining the MRF in the 2019 version (MZP NV) and according to the Methodical Instruction of the Department of Water Protection of the Ministry of the Environment to Determine the Values of MRF in Watercourses from 1998 (MZP MP 1998) shown as their percentage difference
Obr. 2. Porovnání MZP podle návrhu nařízení vlády ve verzi z roku 2019 (žlutý sloupec), dále MZP podle metodického pokynu z roku 1998 (zelený sloupec) a MZP stanoveného v povolení nakládání s vodami (modrý sloupec) pro vybrané lokality ve 3. oblasti a 4. oblasti
Fig. 2. Comparison of the MRF according to the draft Regulation of the Government in the 2019 version (yellow column), the MRF according to the Methodical Instruction from 1998 (green column) and the MRF determined in the water management permit (blue column) for selected locations in Area 3 and Area 4
Obr. 3. Porovnání způsobu stanovení MZP podle návrhu nařízení vlády ve verzi z roku 2019 a podle metodického pokynu z roku 1998 s M-denními průtoky Q355 a Q330
Fig. 3. Comparison of the method of determining the MRF according to the draft Regulation of the Government in the 2019 version and according to the Methodical instruction from 1998 with the M-day flows Q355 and Q330
Projekt se rovněž zaměřil na posouzení relevance snížení stanoveného MZP o ztráty výparem a průsakem do podloží. Průsak do podloží souvisí s hydrogeologickými podmínkami v lokalitě vodního díla. Zhodnocení ztráty výparem, prezentované na obr. 4 a obr. 5, ukazuje na rostoucí trend v jednotlivých dekádách. Nicméně, ponížení MZP o ztráty výparem není u MVN a rybníků akceptovatelné, jelikož by vedlo ke snížení samotného MZP.
Obr. 4. Ukázka průměrného dekádového výparu pro hlavní sezonu a vedlejší jarní sezonu pro jednu pilotní lokalitu
Fig. 4. Example of average decadal evaporation for the main season and for the secondary spring season for one pilot site
Obr. 5. Ukázka průměrného dekádového měsíčního výparu pro jednu pilotní lokalitu
Fig. 5. Example of average decadal monthly evaporation for one pilot site
Výzkumný projekt se zabýval možnostmi dodržování MZP na vodních nádržích, kdy se přihlíželo k hydrologické bilanci vodního díla a k reálným a technicky proveditelným možnostem výpustného objektu. Zjednodušená hydrologická bilance nádrže, simulovaná pomocí aplikace MAVONA [9], ukazuje na obr. 6, že přísné dodržování MZP na odtoku z nádrže výrazně ovlivňuje nároky na její objem. Nekompromisní dodržování MZP po celý rok není vždy reálné, zejména pokud přítok do nádrže klesne pod stanovenou hodnotu MZP. V takových případech by bylo nutné doplňovat odtok z objemu uloženého ve vodní nádrži, což může ohrozit některé funkce vodního díla. Naopak dodržování MZP je nezbytné, aby se předešlo negativním dopadům na hydrologický režim vodního toku pod nádrží způsobeným omezením přítoku vody. Z těchto důvodů se ve způsobu stanovení MZP zohledňují provozní podmínky a aktuální hydrologické podmínky, jak bylo popsáno dříve v metodice. Technická konstrukce výpustných zařízení může představovat limitující faktor pro vypouštění požadovaného MZP, protože tato výpustná zařízení jsou technicky přizpůsobena funkcím nádrže. Pro flexibilnější regulaci odtoku v závislosti na aktuálních hydrologických podmínkách by bylo nutné upravit technické řešení výpustných zařízení a stanovit vhodnou četnost kontrol. Mezi typická výpustná zařízení používaná u rybníků a MVN patří požerák, stavidlový uzávěr, šoupátkový uzávěr, klapkový uzávěr a další. Žádné z nich však neumožňuje flexibilní manipulaci odtoku v souladu se změnami hydrologických podmínek. Pro efektivní dodržování MZP je nezbytné definovat požadavky tak, aby byly smysluplné, technicky realizovatelné a proveditelné vzhledem k velkému počtu rybníků a MVN v ČR.
Obr. 6. Ukázka objemu v nádrži při dodržování MZP (modrá křivka) a při nedodržování MZP (oranžová křivka) na odtoku z nádrže za období 2010 až 2021
Fig. 6. Illustration of volume in the reservoir when complying with the MRF (blue curve) and not complying with the MRF (orange curve) at the reservoir outlet for the period from 2010 to 2021
Aktuální hydrologická data pro současné referenční období by měla být klíčovým podkladem pro stanovení MZP, neboť reflektují současné klimatické poměry. S vývojem klimatických poměrů se mění i hydrologické charakteristiky v povodí a na vodním díle. Projekt se zabýval otázkou, zda zahrnutí předešlé dekády do referenčního období bude mít dopad na hodnotu MZP. Během předešlé dekády se na území ČR objevily povodně i sucha. Projekt dospěl k tomu, že se mohou snížit hodnoty M-denních průtoků i MZP. Existuje zde možnost, že změnou referenčního období pro hydrologická data se pro VD pozmění požadavky na MZP.
Bezpečnost při povodních
Posuzované pilotní lokality jsou na základě kategorie z hlediska technickobezpečnostního dohledu zastoupeny tak, že 34 lokalit spadá do III. kategorie a 16 lokalit do IV*. kategorie (IV* se označují významná VD IV. kategorie). Požadovaná míra bezpečnosti vyjádřená dobou opakování teoretické kontrolní povodňové vlny činí pro 34 lokalit ve III. kategorii 1 000 let, pro 13 lokalit ve IV.* kategorii 200 let a pro 3 lokality ve IV.* kategorii 100 let.
Na základě poznatků a zkušeností získaných při zpracování projektu a v předchozí praxi s vypracováním posudků bezpečnosti byl předložen návrh metodiky pro aplikaci normy ČSN 75 2935. Návrh metodiky slouží jednak jako průvodce vypracováním posudku podle ČSN 75 2935 pro historická VD za účelem zjednodušení a zefektivnění práce na posudku, jednak obsahuje náměty na aktualizaci norem ČSN 75 2935 – Posuzování bezpečnosti VD při povodních a ČSN 75 0255 – Výpočet účinků vln na stavby na vodních nádržích a zdržích. Zformulované zásady pro zpracování posudku ve formě návrhu metodiky jsou k nahlédnutí v závěrečné zprávě [7]. Zde je uveden příklad vybraných doporučení [7]:
- V rámci projektu byl pro zjednodušení a zpřehlednění hodnocení okolností ovlivňujících bezpečnost vodních děl při povodních vypracován souhrnný výčet okolností pro skupinu historických VD. Tento výčet je rozdělen do tří skupin podle předpokládaného dopadu na jednotlivé části posudku. Cílem tohoto dotazníkového přístupu je minimalizovat subjektivní složku v procesu hodnocení a vést posuzovatele. Tuto část posudku by měl zpracovávat zkušený odborník vodohospodář, nejlépe specialista technickobezpečnostního dohledu.
- Pro VD zařazená do I. až III. kategorie se podle ČSN 75 2935 požadují i údaje o větru. Pro historická VD III. kategorie se doporučuje údaje o větru neobjednávat u ČHMÚ, nýbrž použít rychlosti větru uvedené v ČSN 75 0255 – Výpočet účinků vln na stavby na vodních nádržích a zdržích.
- MBH se stanovuje pro konkrétní typ a konstrukční řešení VD jako nejvyšší hladina v nádrži, při jejímž překročení začíná být aktuální nebezpečí poruchy a havárie VD.
- Výchozí úroveň MBH může být snížena nebo zvýšena o hodnoty dílčích výšek odpovídající uvažovaným faktorům.
- KMH při povodni se stanoví řešením úlohy transformace povodňové vlny retenčním účinkem nádrže. Postupuje se podle ustanovení normy.
- Převádění vody spodní výpustí se většinou neuvažuje vlivem její nízké kapacity a pravděpodobnosti jejího ucpání. Je potřeba zohlednit možné ovlivnění kapacity funkčních objektů splávím, popř. splaveninami. V případě nejistot se uvažuje nejnepříznivější stav.
- Pokud není požadovaná míra bezpečnosti VD při povodni, vyjádřená pravděpodobností překročení kulminačního průtoku KPV, předepsaná v kategorizačním protokolu, postupuje se podle tabulky 1 v normě.
V tabulce 1 normy se uvádí pravděpodobnost překročení kulminačního průtoku KPV p = 1/N, kde N je doba opakování. - KPV se uvažuje jako teoretická N-letá povodňová vlna.
- Pro účely posudku je vhodné z mapových podkladů ověřit zatopenou plochu při normální hladině a dopočítat charakteristiku nádrže nad předpokládanou úroveň KMH.
- Parametry rozhodné pro vypracování posudku je třeba ověřit.
- Z uvedeného rozboru ve zprávě je zřejmé, že u historických VD je přesné vyčíslení výběhu vln neúčelné, neboť se téměř vždy následně přistupuje k jeho zásadní redukci.
- Pro aktualizaci stávajících norem vzešly dva hlavní návrhy. V souvislosti s velmi nízkou pravděpodobností souběhu kulminace KPV a trvání extrémního větru s dobou opakování 25 až 100 let (např. pro PV 100 desítky milionů let nebo pro PV 1 000 stovky milionů let) se jeví jako opodstatněné otevřít odbornou diskuzi nad stávajícím postupem výpočtu MBH podle ČSN 75 2935. Dále je doporučena ke zvážení revize ČSN 75 0255. Výpočet výběhu vln podle této normy je velmi nepřehledný a komplikovaný. Uživateli trvá dlouho, než se v postupu výpočtu zorientuje, často dochází k omylům a chybám či k nesprávnému výkladu. V obou případech je vhodné prozkoumat přístup k této problematice v zahraničí a v evropské legislativě [7].
Souhrnné hodnocení výsledků odpovídá dlouhodobě uváděným odborným odhadům a sledovaným statistikám, z nichž vyplývá, že téměř polovina historických VD nepřevede bezpečně KPV [7]. Z reprezentativního souboru vyhovělo požadavku bezpečnosti při povodních 60 %, tj. 30 pilotních lokalit. Ukázka průběhu transformace povodňové vlny KPV přes VD je na obr. 7.
Obr. 7. Průběh transformace povodňové vlny KPV 1 000 ve vodní nádrži
Fig. 7. Transformation of the flood wave KPV 1 000 in the reservoir
ZÁVĚR
MVN a rybníky, bez ohledu na dobu jejich vzniku, budou při plnění svého účelu muset zároveň obstát ve zkoušce zátěží hydrologickými extrémy – suchem a povodněmi. Je nezbytné nastavit jasná pravidla a kritéria, aby konečný efekt VD nebyl spíše kontraproduktivní. V období sucha se řeší problematika dodržování MZP. Doporučuje se, aby se při stanovení MZP pro MVN a rybníky zohlednily provozní a aktuální hydrologické podmínky. To znamená, že během napouštění i provozu by z nádrže mělo odtékat minimálně stanovené MZP, a v případě poklesu přítoku do nádrže pod tuto hodnotu by mělo odtékat alespoň takové množství, které do nádrže přiteče. Ponižování hodnoty MZP o ztráty výparem nebo průsakem do podloží je irelevantní. V kontextu povodní se zpracováním posudku bezpečnosti VD při povodních ověří nutnost realizovat další opatření pro jeho zabezpečenost. V rámci projektu vznikla metodika jako průvodce zpracováním tohoto posudku, včetně námětů k revizi postupů. Výstupy projektu jsou zpřístupněny na webové stránce výzkumného projektu pod odkazem: https://heis.vuv.cz/data/webmap/datovesady/projekty/MvnMzpPovodne/
Poděkování
Autoři příspěvku by rádi touto cestou poděkovali za konstruktivní přístup v průběhu řešení projektu ze strany Technologické agentury ČR, Ministerstva životního prostředí, Jihočeského kraje, zástupců vlastníků vodních děl, Výzkumného ústavu vodohospodářského T. G. Masaryka a VODNÍCH DĚL – TBD, a. s. Dále děkují za spolupráci řešitelům projektu „Vodní systémy a vodní hospodářství v ČR v podmínkách změny klimatu (Centrum Voda)“. Výzkumný projekt byl spolufinancován Technologickou agenturou ČR v rámci programu Prostředí pro život 3. Aplikačními garanty projektu byly Ministerstvo životního prostředí a Jihočeský kraj. Příspěvek byl 19. června 2025 prezentován na konferenci Rybníky 2025.
Příspěvek prošel recenzním řízením.

