ABSTRAKT
Metoda SCS‑CN patří v podmínkách České republiky (ČR) mezi nejpoužívanější hydrologické metody pro odhad přímého odtoku ze srážkových epizod na malých povodích. Její praktické použití je citlivé na kvalitu a konzistenci vstupních dat, zejména pak na využití území (LU) a půdní charakteristiky definované hydrologickou skupinou půd (HSP), a také na správnou práci s návrhovými srážkami. Představovaný nástroj, který je koncipován jako zásuvný modul – plugin pro GIS software QGIS, automatizuje přípravu vstupních dat a následnou analýzu SCS‑CN. Nástroj je koncipován primárně s využitím otevřených dat v ČR. LU je vytvořeno na základě dat ZABAGED v kombinaci s daty LPIS. HSP a návrhové srážky jsou získávány pomocí stahovacích služeb poskytovaných na rain.fsv.cvut.cz.
Odvození samotných hodnot CN je provedeno na základě kombinace vzniklých průniků LU a HSP.
Nástroj pracuje ve třech hlavních krocích. V definovaném území do velikosti 20 km2 automaticky stáhne a zpracuje vrstvy LU s jednotnou prioritní hierarchií a zatříděním do skupin LU a vektorizuje rastrové vrstvy HSP. Následně provede jejich geometrické sjednocení a těmto kombinacím přiřadí unikátní hodnoty CN2 a odvodí také hodnoty CN3. Pro zadané návrhové úhrny (uživatelské i pro zvolené doby opakování) spočítá výšky a objemy přímého odtoku. Při volbě návrhových srážek ze služby rain.fsv.cvut.cz nástroj váží výsledné objemy přes šest syntetických hyetogramů a pravděpodobnosti zvýšeného předchozího nasycení (IPS) v souladu s posledními odbornými publikacemi v oblasti využití návrhových srážek.
Nástroj je publikován jako software s otevřeným zdrojovým kódem (open source) a jeho vývoj je dokumentován na platformě GitHub. Je určen jak pro odbornou praxi, tak pro účely vzdělávání. Součástí nástroje není výpočet kulminačních průtoků a tvarů hyetogramů, jejichž odvození vyžaduje další odborné znalosti v oblasti hydrologie, hydrauliky a GIS.
ÚVOD
Odhad přímého odtoku metodou SCS-CN [1] se v ČR používá zejména pro stanovení hydrologické odezvy v malých povodích, nepozorovaných profilech a při návrzích vodohospodářských opatření v krajině. Využití této metody je akceptováno např. při návrhu zasakovacích pásů, průlehů, příkopů a dalších společných zařízení v rámci pozemkových úprav, zpracování Územních studií atd. Implementace této metody do podmínek ČR byla publikována v řadě norem a metodik ještě před zveřejněním této práce. Zejména pak v nejnovější metodice Protierozní ochrana [2], jíž předcházela v oblasti hydrologie metodika Krátkodobé srážky pro hydrologické modelování a navrhování drobných vodohospodářských staveb v krajině [3].
Konceptuální přístup metody SCS-CN, který je široce využíván pro svou jednoduchost a srozumitelnost metodických postupů, má ovšem své nedostatky. Samotná metoda byla odvozena a vyvíjena pro malá povodí v rozsahu jednotek km2. Její využití pro větší území zasažené navíc shodnou srážkou je diskutabilní. SCS-CN metoda slouží k odvození odtokové výšky, resp. množství odtoku, metoda tak nereflektuje změny odtokových podmínek při různých intenzitách deště. Pro získání maximálních – návrhových průtoků je třeba tuto metodu kombinovat s jinou metodou (např. jednotkovým hydrogramem). Zásadním limitem je pak kategorizace půd pouze do čtyř hydrologických skupin. Tento limit je možné nahradit fyzikálně založenými metodami. Příkladem může být český model SMODERP [4], který umí pracovat s podobnými vstupy jako zde popisovaný nástroj. Fyzikálně založené modely jsou však pro aplikační náročnost využívány prozatím okrajově a pouze pro specifické případy.
Metoda SCS-CN je integrována do řady proprietárních i otevřených modelových prostředků, např. do volně dostupného HEC-HMS [5], pro ČR lokalizovaný Atlas HYDROLOGIE [6] či webové služby HydroRAIN [7]. Z posledně jmenovaného částečně vychází zde popisovaný nástroj. Metoda SCS-CN je také využívána v ČHMÚ jako jedna z metod při odvozování hydrologických údajů povrchových vod v nepozorovaných profilech (ČSN 75 1400).
Přes jednoduchost samotné metody je praktické nasazení zatíženo 1) různými zdroji dat a jejich různou kvalitou, 2) nejednotným přiřazováním CN třídám využití území (LU), 3) nutností správně pracovat s návrhovými srážkami a stavem počátečního nasycení.
Cílem vytvářeného a zde popisovaného nástroje je částečně konsolidovat vstupní data a odvozené výsledky formou zásuvného modulu (dále „plugin“) do otevřeného geografického softwaru QGIS [8]. Tento nástroj jednotlivé kroky s geoprostorovými daty sjednocuje a automatizuje nad otevřenými zdroji dat v ČR a poskytuje přímé výstupy jak formou geoprostorových vrstev (vrstvy CN, vrstvy objemů přímého odtoku), tak tabelárních výstupů v prostředí QGIS.
Nástroj byl navržen tak, aby byl:
- praktický (minimum ručních zásahů, průvodce krok za krokem),
- transparentní (dokumentace a otevřený zdrojový kód),
- ověřitelný (automatické testy a kontroly vstupů),
- adaptovatelný (konfigurace parametrů pomocí oddělených editovatelných souborů a dílčích kroků, nad kterými má uživatel kontrolu).
MATERIÁL A METODA
Metoda SCS‑CN a zvolené parametry
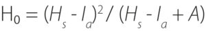
Samotná metoda SCS-CN je popsána v řadě dostupných publikací [1–3]. Zde je prezentován jen velmi stručný základ této metody. Výška přímého odtoku H₀ z úhrnu srážky Hs je dána maximální potenciální retencí A počáteční ztrátou Ia = λA (základně λ = 0,2) vztahem:
Retence A je dána číslem odtokové křivky CN podle vztahu:
(1)
Samotná hodnota CN je tabelována pro kombinaci LU a HSP pro tři fixní stavy počátečního nasycení na základě indexu předchozích srážek (API). V české praxi se pracuje se scénáři počátečního nasycení CN2 (průměrné) a CN3 (zvýšené počáteční nasycení), přičemž CN3 se odvozuje z CN2 standardní transformací. CN1 – suchý stav je pro ČR okrajový a prakticky nenastává. Metoda byla původně empiricky odvozena pro celé území USA včetně suchých oblastí.
Index předchozích srážek je využíván pětidenní (API5), stanovený podle vztahu [3]:
(2)
kde:
Rn značí 24hodinový úhrn srážek za období začínající n dní před srážkou. Lze se setkat i s třicetidenním API (API30).
Technické řešení
Webové služby OGC pro automatizované získání vstupních vektorových dat z volně dostupných datových zdrojů využívají technické specifikace OGC Web Feature Service (WFS), jež umožňuje distribuovaný přístup k prostorovým prvkům včetně jejich geometrických a atributových charakteristik. V rámci vyvinutého nástroje jsou pomocí standardních WFS operací načítány datové sady poskytované v rámci režimu otevřených dat v ČR (ZABAGED a LPIS). Tyto dvě datové sady tvoří základní informační vstup pro následnou klasifikaci využití území. HSP a data návrhových srážek jsou získávány pomocí výpočetní služby OGC Web Processing Service (WPS) poskytované projektem rain.fsv.cvut.cz. Z důvodu zachování plynulosti práce v uživatelském rozhraní pluginu probíhá komunikace se vzdálenými servery asynchronně. Tento způsob práce umožňuje průběžnou aktualizaci vstupních dat, vysokou míru automatizace a reprodukovatelnost celého výpočetního postupu.
Výpočetní nástroje QGIS
Výpočetní postup byl realizován v open source prostředí QGIS s využitím kombinace vestavěných analytických nástrojů a funkcionality rozšířené prostřednictvím vlastního zásuvného modulu. Základním principem zpracování je postupná transformace vstupních vektorových vrstev reprezentujících LU, hydrologické skupiny půd a srážkové charakteristiky do odvozených tematických vrstev vstupujících do modelu SCS-CN. K tomu jsou využívány operace prostorového překryvu, spojování vrstev podle atributů a geometrických vztahů, tvorby obalových zón a vektorizace rastrových dat. Tyto výpočetní operace jsou realizovány prostřednictvím standardních nástrojů QGIS spouštěných pomocí Python rozhraní PyQGIS, což umožňuje jejich automatizované řetězení a kontrolu konzistence výstupů. Celý proces je doplněn systémem validací vstupních dat a průběžných kontrol výpočtových kroků, jejichž cílem je eliminace chyb při generování vrstev CN a následném výpočtu objemu přímého odtoku. Cílem technologického řešení je zajistit numerickou stabilitu a reprodukovatelnost výsledků.
Tvorba vlastního zásuvného modulu (pluginu)
Vývoj zásuvného modulu byl koncipován jako postupná integrace jednotlivých analytických kroků do prostředí QGIS. Implementace probíhala v programovacím jazyce Python s využitím rozhraní PyQGIS a knihovny PyQt pro tvorbu grafického uživatelského rozhraní. Důraz byl kladen na modularitu řešení, transparentnost jednotlivých výpočetních kroků a možnost uživatelských úprav vstupních parametrů i prioritizaci vrstev pomocí konfiguračních souborů v jazyku YAML, což zvyšuje flexibilitu a praktickou využitelnost výsledného pluginu.
DATA VÝSLEDKY
Popis technického řešení
Plugin je vytvořen jako software s otevřeným zdrojovým kódem v rámci licence GNU GPL a je dostupný na platformě GitHub. Postup instalace a uživatelský manuál jsou k dispozici na stránkách rain.fsv.cvut.cz.
Práce je rozdělena do čtyř navazujících kroků. Uživateli je tak umožněna kontrola jednotlivých kroků a možnost použít vlastní nebo upravená data, a využít tak pouze některý z kroků.
Nástroj kontroluje platnost vstupních vrstev (přesněji existenci a typy atributů definujících LU, hydrologické skupiny půd a hodnoty CN2), rozsahy parametrů (λ v intervalu 0,1–0,3), číselný formát vstupů uživatelských úhrnů, strukturu konfiguračních souborů a CSV tabulek. Součástí je jednotně aplikovaná symbologie generovaných vrstev LU, CN a objemů přímého odtoku (pomocí kvantilové škály), kompletní uživatelská dokumentace (CZ/EN, MkDocs) a sada automatických testů nasazených ve službě GitHub Actions ověřujících stahování dat, editace, přiřazení CN hodnot a tvorbu vrstev objemů přímého odtoku.
Vstupní data a jejich základní zpracování
Model pracuje s otevřenými národními daty a dalšími dostupnými datovými zdroji.
Obr. 1. Rozhraní pluginu: a) rozhraní pro stažení dat, b) propojení vrstev LU a HSP, c) přiřazení hodnot CN, d) získání nebo zadání srážkových dat a spuštění výpočtu odtokových výšek a objemů odtoku
Fig. 1. Plugin interface: a) data download, b) linking LU and HSG layers, c) assignment of CN values, d) retrieving or entering precipitation data and running the calculation of runoff depth and runoff volume
Využití území
Pro odvození LU je zásadním vstupem kombinace vybraných vrstev ZABAGED a LPIS s prioritní hierarchií. Vybrané liniové prvky jsou interpretovány jako plošné, a to pomocí obalové zóny (buffer) podle atributů. Výsledkem je topologicky korektní vrstva bez překryvů vstupních vrstev.
Hydrologické skupiny půd
Hydrologické skupiny půd jsou získávány pomocí integrované WPS služby – soil-texture-hsg (https://rain.fsv.cvut.cz/webapp2/ogc-wps/#1-wps), která je provozována na serveru rain.fsv.cvut.cz a slouží k poskytování půdních dat. Vrstva HSP vznikla metodou digitálního mapování v kombinaci s pedotransferovými funkcemi (PTF) jako výsledek projektu TA ČR č. TJ02000234. Jejich odvození je popsáno ve dvou publikacích [9, 10]. Data jsou rastrová v prostorovém rozlišení 20 m. HSP nejsou určeny ve vojenských újezdech, kde není dostupné mapování půd, v místech povrchové těžby, v centrech velkých měst a ve vodních plochách. Následně dochází jak k jejich vektorizaci bez zhlazení, tak k doplnění hodnot v místech vodních ploch pro následné přiřazení CN = 99 pro vodní plochy.
Návrhové srážky, pravděpodobnost zastoupení tvarů hyetogramů a počátečních stavů
Plugin primárně pracuje s šestihodinovými návrhovými srážkami pro doby opakování od dvou do 100 let, jež byly odvozeny pro potřeby hydrologického modelování [11]. Kromě samotné výšky návrhové srážky plugin v souladu s platnými metodikami [2, 3] pracuje se zahrnutím pravděpodobnosti výskytu tvarů hyetogramů [12] v kombinaci s pravděpodobností možného zvýšeného (abnormálního) počátečního nasycení. Uživateli je rovněž umožněno zadat vlastní úhrn uživatelské srážky.
Obr. 2. Vstupní data po zpracování pluginem – Třebešice a Býkovice (Benešovsko) – a) Vrstva LU po zpracování ZABAGED a LPIS dat, b) HSP
Fig. 2. Input data processed with the plugin for Třebešice and Býkovice (Benešov District): a) LU layer derived from ZABAGED and LPIS data, b) HSG
Charakteristiky návrhových srážek (úhrn, zastoupení tvarů, pravděpodobnost počátečního nasycení) pro zvolené doby opakování jsou staženy pomocí integrované WPS služby – d-rain6h-timedist (https://rain.fsv.cvut.cz/webapp2/ogc-wps/#1-wps), která je integrována do pluginu.
Obr. 3. Ukázka rozhraní předpřipravených dat návrhových srážek pro povodí IV. řádu (https://rain1.fsv.cvut.cz/), samotný plugin data získává pro uživatelem zadané území
Fig. 3. Interface providing pre-prepared design rainfall data for fourth-order catchments (https://rain1.fsv.cvut.cz/); the plugin retrieves the data for the user-specified area
Přiřazení CN a výpočty výšky a objemu odtoku
Přiřazení hodnot CN probíhá ve dvou krocích. V prvním kroku je proveden průnik vrstev LU a HSP. Uživatel tak má možnost pracovat přímo se staženými daty, zpřesněnými podle skutečnosti, vlastními daty nebo výhledovými stavy/návrhy. Následuje krok přiřazení samotné hodnoty CN na základě kódového označení LU a HSP. Součástí pluginu je integrovaná tabulka CN, jež vychází z originálních metodik USDA [1] a interpretace do českého prostředí [2], podrobněji publikovaná na https://rain.fsv.cvut.cz/scs-cn/scs-cn-met/ pro stav běžného nasycení (CN2). Pro stanovení CN3 nástroj využívá odvození z CN2 podle vztahu:
Obr. 4. Přiřazené hodnoty CN na základě propojení LU a HSP
Fig. 4. Assigned CN values based on the intersection of LU and HSG layers
Výpočet odtokové výšky a objemu odtoku
Pokud uživatel využije návrhové srážky pro N‑leté doby opakování ze služby rain.fsv.cvut.cz, jsou spočítány objemy odtoku včetně pravděpodobností zastoupení tvarů hyetogramů a pravděpodobnosti výskytu zvýšeného nasycení. V případě zadání uživatelské srážky nejsou pravděpodobnosti zahrnuty – výpočet proběhne pouze pro stav běžného nasycení (CN2).
Obr. 5. Ukázka výpočtu výšky odtoku pro jednotlivé polygony ze srážky 30 mm; výsledek ilustruje, které části povodí dominantně ovlivňují generování přímého odtoku (tmavě modré)
Fig. 5. Example of calculated runoff depth for individual polygons for a 30 mm precipitation event; the result illustrates which parts of the catchment generated higher direct runoff (dark blue)
Výsledkem jsou odtokové výšky nebo objemy odtoku pro jednotlivé polygony průniku LU a HSP. Další zpracování těchto hodnot a jejich případná sumarizace je již ponechána na uživateli GIS. Pro výpočet průměrné odtokové výšky je možné využít jiného pluginu pro QGIS Area Weighted Average.
ZÁVĚR
Představený zásuvný modul – plugin „Czech Land Use and CN Analyzer“ pro QGIS konsoliduje a výrazně zrychluje praktickou aplikaci metody SCS-CN pro otevřená data ČR tím, že automatizuje klíčové kroky – získání a sjednocení vrstev LU (kombinace ZABAGED a LPIS), zpracování hydrologických skupin půd a jejich geometrické propojení do jednotné datové struktury pro odvození CN2/CN3. Na tomto základě nástroj umožňuje přímo v prostředí QGIS spočítat výšky a objemy přímého odtoku pro uživatelské i návrhové srážkové úhrny, přičemž při využití návrhových srážek rain.fsv.cvut.cz zohledňuje i zastoupení syntetických hyetogramů a pravděpodobnost zvýšeného počátečního nasycení, čímž zjednodušuje aplikaci aktuálních metodických doporučení.
Podrobné řešení na základě dat ZABAGED může sloužit k získání hodnot CN nejen pro povodí, ale také pro urbanizovaná území. Mohou být vstupem pro specializované hydrologické modely urbanizovaných území, např. SWMM [13].
Geometrická přesnost a aktuálnost dat LU vychází z přesnosti a aktuálnosti dat ZABAGED.
Zásadní přínos nástroje spočívá v transparentnosti (otevřený zdrojový kód), opakovatelnosti a kontrolovatelnosti celého postupu a v jednotné symbologii datových vrstev. Díky tomu je vhodný jak pro projekční a aplikační praxi (rychlá identifikace plošně dominantních zdrojů odtoku a podklady pro návrh opatření), tak pro výuku a metodickou podporu samospráv, kde je často klíčová rychlá orientace v území a jednotný metodický přístup pro uživatele s odlišným odborným zázemím.
Současně je nutné zdůraznit, že nástroj zůstává v rámci možností metody SCS-CN zaměřen především na objemy (odtokovou výšku) přímého odtoku, nikoli na odvození kulminačních průtoků či tvaru hydrogramu, které vyžadují navazující postupy a další odborné vstupy a znalosti.
Limity metody SCS-CN jsou zejména v omezené podrobnosti půdních dat, ve vnímání samotné hodnoty CN jako statické veličiny. Významnou nejistotou pak zůstává převzetí většiny hodnot CN originálních zdrojových dat z USA. Systematická verifikace CN pro ČR neprobíhala.
Dalším limitem nástroje je maximální rozloha zpracovávaného území 20 km2 – samotná metoda CN byla odvozena pro malá povodí, tudíž pro větší území mohou být její výsledky zavádějící. Omezení jsou rovněž na straně využívaných webových služeb pro získání datových podkladů. Půdní data jsou také poskytována pro maximální plochu 20 km2, WFS služby ČUZK jsou omezeny na 1 000 prvků v rámci jednoho dotazu.
Otevřený zdrojový kód a oddělení parametrů ovlivňujících výpočet do konfiguračních souborů umožňují jednoduchou aplikaci nových poznatků a dalších vylepšení. Autorský kolektiv uvítá případné připomínky a rozšíření.
Poděkování
Tento článek vychází ze zpracované diplomové práce [14] a jsou v něm zahrnuty poznatky získané v projektech (TA ČR č. TJ02000234, GA MZe č. QJ1520265) a aktuálně řešeného projektu TA ČR – SS06010386 – „Adaptace urbanizovaných území na přívalové povodně a sucho“.
Příspěvek prošel recenzním řízením.
